
Capital & Finance
Wisconsin’s most active startup investors
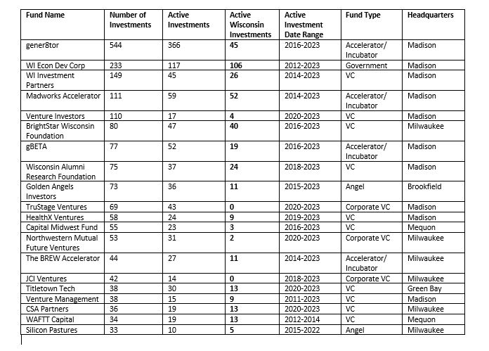
Wisconsin’s most active investors
Funding is the perennial hot topic in most startup ecosystems, and Milwaukee’s community is no exception. Conventional wisdom indicates that founders must go to the coasts to raise capital, but that is not always the case.
According to Pitchbook data, below is a list of the 20 largest active venture investors headquartered in Wisconsin. The ranking is based on the number of total investments made, rather than dollars invested. We reviewed the active portfolios of the investors to determine the number of investments made in businesses headquartered in Wisconsin.
